近年来,学校坚决贯彻人才强校战略,通过外引内培积极打造高水平师资队伍,持续为高水平人才扎根科研一线、勇于突破创新提供机制体制保障。2022年虽受到新冠疫情的严重冲击,但学校广大科研工作者积极投入、稳扎稳打,取得了一批高质量科研成果。以下我们选取近期产出的部分成果与大家分享。
基于脉冲声波的气泡步进操控
脉冲声波已被广泛应用于工业和医疗等领域。使用脉冲波可以提高声空化效应在催化和清洗应用中的能量利用率。此外,脉冲波也可以用于气泡操控,进而实现靶向送药。


(中心频率为80 kHz的脉冲声波作用下两气泡平衡半径取不同值时(a)气泡半径变化和(b)气泡位置变化)

(不同时间间隔的脉冲声波串作用下两气泡位置变化)
凯撒斯劳滕智能制造学院王寻团队与南京大学声学研究所陈伟中教授团队合作,基于Doinikov气泡动力学模型,对脉冲声波驱动下液体中双气泡动力学问题进行了研究。研究表明气泡脉动和平移规律与脉冲声波中心频率和气泡谐振频率有关。当脉冲声波中心频率与气泡谐振频率接近时,气泡脉动剧烈,移动速度增加。增加单个脉冲中的声周期数也可加快气泡移动速度。当使用脉冲波串时,提高脉冲重复频率和脉冲声压幅度可促进气泡快速移动。该研究为基于脉冲声波实现液体中气泡的“步进”操控打下了理论基础。
该研究成果近期发表于声学领域知名期刊《超声声化学》(Ultrasonics Sonochemistry)。
超短期风电功率的准确预测能有效改善风电功率的模糊程度,对电力系统的优化调度、系统稳定性和运行成本控制至关重要,对电网稳定运行具有重要意义。

(各方法的风功率预测结果)

(各方法的预测误差曲线)
电气学院自动化系丁云飞团队针对风电时间序列信号的间歇性和波动性,提出了一种基于总体平均经验模式分解和基于改进的鲸鱼优化算法的核极限学习机的混合预测模型,用于预测短期风电功率。该模型将非平稳风电时间序列分解为一系列相对平稳的分量,通过改进的鲸鱼算法优化初始值和阈值,最后叠加预测输出值以获得风功率值的最终预测。该预测模型不仅能够降低预测的复杂度,而且在预测精度和稳定性方面,性能更高,计算成本更低,从而能够降低风电备用容量,实现电网及风电场的安全高效运行。
近日,相关成果论文发表于能源顶刊《Renewable Energy》。
成功揭示汽车用高强钢激光焊异种接头的动态力学性能与热影响区软化机制
近年来,基于结构轻量化和车身终身寿命减碳的新能源车车身用超高强度钢获得大量关注,但超高强钢本身工艺特点决定了其焊接过程中在热影响区存在软化现象。淬火再分配钢(QP钢)和相变诱导塑性钢(TRIP钢)因其优良的强度和塑韧性,成为当今白车身制造过程中的主要结构用钢。
机械学院焊接团队采用数字散斑相关法(DIC),动态观测了激光焊QP1180-TRIP780超高强钢异种接头的拉伸过程,研究了其不同时刻的应力应变云图,并通过电子背散射衍射技术(EBSD)系统研究了QP1180侧和TRIP780侧,焊接前后接头不同区域的相分布。研究发现,QP1180侧亚临界热影响区因其马氏体回火率较高而导致该区域总体硬度下降;而TRIP侧则残余奥氏体发生的马氏体相变,补偿了其亚临界热影响区的马氏体回火所导致的软化,最终没有表现出软化现象。该研究系统解释了超高强度钢在焊接过程中的接头软化机理,该工作对白车身高强钢结构焊接过程中通过工艺调控获得更加优良的综合力学性能提供了借鉴。

(图1 接头热影响区的电子背散射衍射反极图与相分布图)

(图2 接头拉伸曲线、DIC云图与动态载荷演变图)
该成果近期发表于国际期刊《材料研究与技术》(Journal of Materials Research and Technology)。
磁场效应对锂离子电池性能的影响研究
随着电动汽车行业的迅速发展,锂离子电池的性能对电动汽车的续航里程至关重要。磁场是一种看不见、摸不着的特殊物质,但却是客观存在的,磁场是由运动电荷或电场的变化产生的,当外部磁场作用于物质时,物质内部会被磁化,会产生许多微小的磁偶极子。
机械学院阮观强团队提出了一种在磁场效应下对锂离子电池进行性能测试的实验方法,在此基础上搭建了由锂离子电池、电池充放电测试系统、磁场发生系统组成的实验平台,设计实验方法及要求,并针对18650锂离子电池进行了对比实验及分析。
磁场效应对锂离子电池的性能有很大的影响,在不同的倍率下,以1/3C、1/2C、1C倍率为例,如图1所示。磁场具有波粒的辐射特性,当外部磁场作用于电池时,电池内部被磁化,会产生许多微小的磁偶极子,使得电池内部的颗粒物质发生磁性排列,提高离子电导率,从而加速电极附近离子的流动和扩散,进而改变锂离子电池的工作性能,不仅增加了锂离子电池的容量,同时也提高了电池的能量密度。




(图1 不同倍率下电池的容量、能量曲线图)
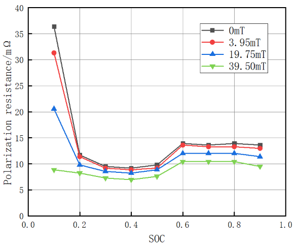
图2反映的是放电时电池的欧姆内阻和极化内阻随SOC的变化情况,在放电过程中,由于受到磁场的作用,电池内部会被磁化,产生许多微小的磁偶极子,使得电池中的颗粒物质发生磁性排列,提高离子电导率,离子移动速度变快,所以电解液中的欧姆内阻变小,而电解液的内阻是欧姆内阻的主要组成部分,由于离子移动速度变快,所以电池化学反应速度也变快,从而电池的极化内阻也变小。


(a)欧姆内阻随SOC变化曲线 (b)极化内阻随SOC变化曲线
(图2 内阻随荷电状态变化曲线图)
该成果已发表在国际期刊《Energy Reports》。
城市电动汽车充换电站选址规划研究
充换电站作为新能源电动汽车的关键配套设施。其选址规划和普及速度是实现我国传统交通能源转型成功的关键部分。

(选址布局优化结果)
商学院孙丽江教授团队与哈姆斯特丹大学Mike Danilovic教授团队合作,基于对新能源产业的多角度研究,以城市电动汽车充换电站的选址规划为切入点,充分考虑用户的选择行为因素对充换电站选址规划的影响,以此来建立多目标函数模型(最小化总建设成本与最小化路耗函数模型、最大化用户满意度函数模型)。
通过对充换电站的效用系数ρ,特征引力效用权重τ,用户理性程度λ等关键参数进行控制单一变量法进行模型仿真分析,优化取值。研究表明,距离因素对于用户的选择具有较大的影响,特征因素(周围休闲娱乐设施的完备情况、其周围的交通状况等)对于用户的选择影响较小。该研究为城市电动汽车充换电站选址规划研究打开一种新的研究思路。
该研究成果近期发表于国际期刊《ENERGY REPORTS》。
半导体Ag2S热电材料研究
半导体热电材料是一种可以将热能和电能进行直接相互转换的功能材料, 在工业废热、汽车尾气废热回收发电、空间探测、智能穿戴设备等领域有着广泛应用。
材料学院金敏教授团队利用垂直区熔技术生长了一种新型柔性Ag2S半导体材料,并对其热电性能进行了系统研究。研究表明,Ag2S在450K温度附近存在从ɑ-Ag2S单斜结构到β-Ag2S体心立方结构的相变。相变之前,Ag2S的热电性能非常微弱,发生结构转变之后热电性能却得到了急剧提升,这主要得益于材料的载流子浓度从价带到导带发生了极大跃迁。Ag2S的热电优值在600K附近达到最大值0.57,说明它是一种很有潜力的中低温热电材料。


(垂直区熔法生长的Ag2S半导体材料及其热电性能)
该研究成果于近期发表于材料科学综合类T1区期刊《无机材料学报》。
基于MFA-Elman的短期光伏功率预测研究
光伏发电受制于气象因素,其随机性和不稳定性是制约并网型光伏大规模发展的重要原因。因此,提高光伏并网的可靠性成为光伏发电产业发展亟待解决的问题。
商学院研究生马鑫钰(指导老师张晓红教授)基于Elman神经网络模型,对光伏短期功率预测精确度和可靠性偏低、预测速度偏慢的问题进行了分析研究。通过将各分解子序列输入经MFA优化的Elman神经网络进行光伏输出功率预测,解决了Elman神经网络初始权值和阈值具有随机性以及训练速度慢的缺点。仿真实验结果表明,MFA-Elman模型预测误差更小,预测精度和可靠性更高,预测速度更快,能够满足光伏功率短期预测的要求,为提升光伏发电并网可靠性提供了一定理论基础,从而为电网调度系统提供更多的保障。

该研究成果近期发表于能源类知名期刊《能源报告》(Energy Reports)。
(供稿:科技处)